Skip to content
log in
DISABLE AUTO REFRESH
Jenkins
org.cumulus4j
org.cumulus4j.keymanager.back.shared
Test Report
Up
Status
Changes
Workspace
(
trend
)
W
Description
%
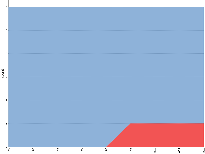
Test Result: 1 test failing out of a total of 6 tests.
83
Build stability: No recent builds failed.
100
Build History
#12
30-May-2016 10:43:27
#11
30-May-2016 09:47:51
#10
30-May-2016 08:44:08
#9
30-May-2016 05:26:48
#8
15-Nov-2014 14:11:07
#7
14-Oct-2014 08:37:24
#6
09-Oct-2014 19:27:16
#5
09-Oct-2014 16:34:33
#4
09-Oct-2014 16:11:51
#3
09-Oct-2014 16:07:15
#2
09-Oct-2014 13:34:10
#1
09-Oct-2014 13:08:10
RSS for all
RSS for failures
Page generated: 16-Apr-2026 20:46:01
Jenkins ver. 1.570